Skip to content Skip to sidebar Skip to footer

40 consider a zero coupon bond with 20 years to maturity

Bond Yield to Maturity Calculator for Comparing Bonds Let's say you buy a 10 year $1000 bond with a 5% coupon. You hold that bond for the next few years collecting your $50 of annual interest. During that time, interest rates fall, and a comparable 10 year $1000 bond now carries a 4% coupon. Your original bond is now a much more valuable commodity, and it can be sold at a premium on the open market. Latest Business News | BSE | IPO News - Moneycontrol Nov 10, 2022 · Latest News. Get all the latest India news, ipo, bse, business news, commodity only on Moneycontrol.

Join LiveJournal Password requirements: 6 to 30 characters long; ASCII characters only (characters found on a standard US keyboard); must contain at least 4 different symbols;

Consider a zero coupon bond with 20 years to maturity

Consider a zero coupon bond with 20 years to maturity

Find Jobs in Germany: Job Search - Expatica Germany Browse our listings to find jobs in Germany for expats, including jobs for English speakers or those in your native language. What Is a Certificate of Deposit (CD) and What Can It Do for You? May 18, 2022 · Certificate Of Deposit - CD: A certificate of deposit (CD) is a savings certificate with a fixed maturity date , specified fixed interest rate and can be issued in any denomination aside from ... Microsoft is building an Xbox mobile gaming store to take on ... Oct 19, 2022 · In a graph posted at Microsoft’s Activision Blizzard acquisition site, the company depicts the entire gaming market as worth $165 billion in 2020, with consoles making up $33 billion (20 percent ...

Consider a zero coupon bond with 20 years to maturity. Publication 550 (2021), Investment Income and Expenses ... One-fourth of 1% of $1,000 (stated redemption price) times 10 (the number of full years from the date of original issue to maturity) equals $25. Because the $20 discount is less than $25, the OID is treated as zero. (If you hold the bond at maturity, you will recognize $20 ($1,000 − $980) of capital gain.) Microsoft is building an Xbox mobile gaming store to take on ... Oct 19, 2022 · In a graph posted at Microsoft’s Activision Blizzard acquisition site, the company depicts the entire gaming market as worth $165 billion in 2020, with consoles making up $33 billion (20 percent ... What Is a Certificate of Deposit (CD) and What Can It Do for You? May 18, 2022 · Certificate Of Deposit - CD: A certificate of deposit (CD) is a savings certificate with a fixed maturity date , specified fixed interest rate and can be issued in any denomination aside from ... Find Jobs in Germany: Job Search - Expatica Germany Browse our listings to find jobs in Germany for expats, including jobs for English speakers or those in your native language.

Zero coupon convertibles do not have a zero cost | The ...

Zero coupon convertibles do not have a zero cost | The ...

1. You have a large position in two bonds with similar credit ...

1. You have a large position in two bonds with similar credit ...

Consider a bond with a 6 % annual coupon and a face value of 1,000 .  Complete the following table. What relationships do you observe between  years to maturity, yield to maturity, and the current ...

Consider a bond with a 6 % annual coupon and a face value of 1,000 . Complete the following table. What relationships do you observe between years to maturity, yield to maturity, and the current ...

Solved] .Explain these questions.. Question 2 (20 Marks). a ...

Solved] .Explain these questions.. Question 2 (20 Marks). a ...

Ch 8 answer keys FOR corporate finance - Solutions to ...

Ch 8 answer keys FOR corporate finance - Solutions to ...

LECTURE 09: MULTI-PERIOD MODEL BONDS

LECTURE 09: MULTI-PERIOD MODEL BONDS

All the 21 Types of Bonds | General Features and Valuation | eFM

All the 21 Types of Bonds | General Features and Valuation | eFM

Yield to Maturity (YTM): Formula and Ratio Calculation

Yield to Maturity (YTM): Formula and Ratio Calculation

Chapter 4 – Valuation and Bond Analysis – Business Finance ...

Chapter 4 – Valuation and Bond Analysis – Business Finance ...

VALUING BONDS

VALUING BONDS

Problem Set 1 - Tutorial question - Q1 Consider a zero coupon ...

Problem Set 1 - Tutorial question - Q1 Consider a zero coupon ...

Interest Theory Final – Time: 70 min

Interest Theory Final – Time: 70 min

CH 5 Problems - Bonds Problems A bond pays $80 per year in ...

CH 5 Problems - Bonds Problems A bond pays $80 per year in ...

Solved Consider the following $1,000 par value zero-coupon ...

Solved Consider the following $1,000 par value zero-coupon ...

How to Calculate PV of a Different Bond Type With Excel

How to Calculate PV of a Different Bond Type With Excel

Solved 14 of 25 Consider a zero-coupon bond with 20 years to ...

Solved 14 of 25 Consider a zero-coupon bond with 20 years to ...

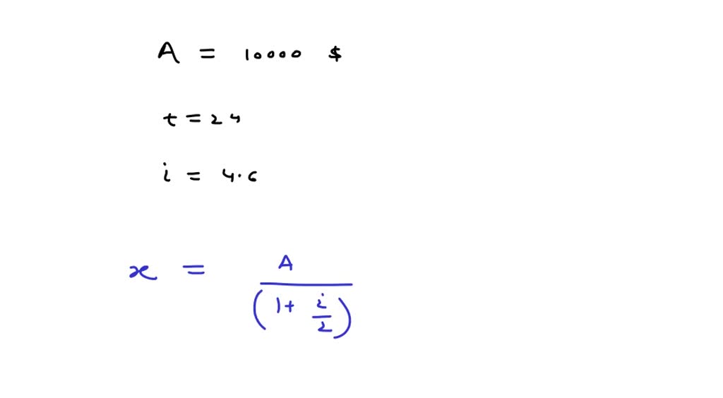
You find a zero coupon bond with a par value of 10,000 and 24 years to  maturity. The yield to maturity on this bond is 4.6 percent. Assume  semiannual compounding periods. What is the price of the bond

You find a zero coupon bond with a par value of 10,000 and 24 years to maturity. The yield to maturity on this bond is 4.6 percent. Assume semiannual compounding periods. What is the price of the bond

Second Midterm Exam Fall 2018 Econ 180-367 Closed Book ...

Second Midterm Exam Fall 2018 Econ 180-367 Closed Book ...

Consider a zero coupon bond with face value F, | Chegg.com

Consider a zero coupon bond with face value F, | Chegg.com

A zero-coupon bond has a par value of $1,000 and matures in ...

A zero-coupon bond has a par value of $1,000 and matures in ...

Investor's Guide to Zero-Coupon Municipal Bonds | Project ...

Investor's Guide to Zero-Coupon Municipal Bonds | Project ...

Solved 1) Consider a zero coupon bond with 20 years to ...

Solved 1) Consider a zero coupon bond with 20 years to ...

EXERCISES FOR CHAPTER 7 More Problems 1. Bob buys a 1000 par ...

EXERCISES FOR CHAPTER 7 More Problems 1. Bob buys a 1000 par ...

Chapter 6 Bonds 6-1. Chapter Outline 6.1 Bond Terminology 6.2 ...

Chapter 6 Bonds 6-1. Chapter Outline 6.1 Bond Terminology 6.2 ...

Zero Coupon Bond Value - Formula (with Calculator)

Zero Coupon Bond Value - Formula (with Calculator)

Problem Set 2 - Problem set 2 Q1 Consider a zero-coupon bond ...

Problem Set 2 - Problem set 2 Q1 Consider a zero-coupon bond ...

✓ Solved: An investor is considering the purchase of zero ...

✓ Solved: An investor is considering the purchase of zero ...

A newly issued 20-year maturity, zero-coupon bond is issued ...

A newly issued 20-year maturity, zero-coupon bond is issued ...

FIN 300 Lecture Notes - Fall 2017, Lecture 6 - Weighted ...

FIN 300 Lecture Notes - Fall 2017, Lecture 6 - Weighted ...

07 bond evaluation 02

07 bond evaluation 02

Solved Consider a zero-coupon bond with $1,000 face value ...

Solved Consider a zero-coupon bond with $1,000 face value ...

Mathematics | Free Full-Text | An Asymptotic Solution for ...

Mathematics | Free Full-Text | An Asymptotic Solution for ...

What Is a Zero-Coupon Bond? | The Motley Fool

What Is a Zero-Coupon Bond? | The Motley Fool

How to Calculate PV of a Different Bond Type With Excel

How to Calculate PV of a Different Bond Type With Excel

How to Calculate PV of a Different Bond Type With Excel

How to Calculate PV of a Different Bond Type With Excel

Solved Consider a zero-coupon bond with a $1,000 face value ...

Solved Consider a zero-coupon bond with a $1,000 face value ...

A newly issued 20-year maturity, zero-coupon bond is issued ...

A newly issued 20-year maturity, zero-coupon bond is issued ...

Chapter 1

Chapter 1

1. What is the value of a semi annual zero coupon bond that matures in 20  years, has a maturity of R 1 000 000 and is selling to yield 7.6%?2. What  is the value of a 5 year 7.4 coupon bond that pays ...

1. What is the value of a semi annual zero coupon bond that matures in 20 years, has a maturity of R 1 000 000 and is selling to yield 7.6%?2. What is the value of a 5 year 7.4 coupon bond that pays ...

A newly issued 20-year maturity, zero-coupon bond is issued ...

A newly issued 20-year maturity, zero-coupon bond is issued ...

Post a Comment for "40 consider a zero coupon bond with 20 years to maturity"